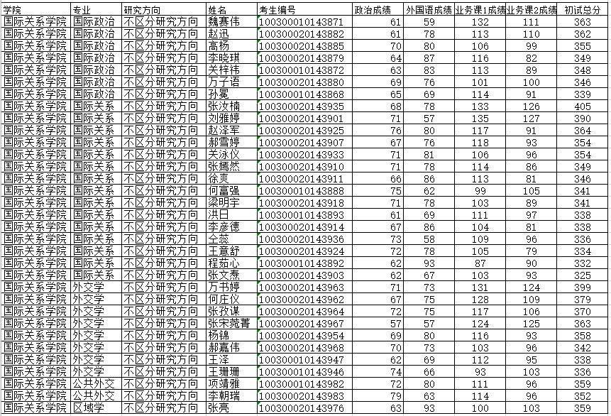
2020年硕士研究生入学考试复试名单

来源:beats365vip官网登录入口 时间:2020-05-10 点击数:



Copyright beats365(中国区vip)-官网唯一入口 版权所有. 地址:北京市海淀区西三环北路2号/19号    邮编:100089  Supported by BFSU ITC